
Experience unparalleled insights into cellular dynamics with continuous real-time monitoring without the need for intrusive labeling techniques. Stay ahead of the curve and unlock new possibilities for your research with our innovative approach.
ECIS: the Label-free, Non-invasive Method to Monitor Cells In Vitro
Proliferation
Avoid intrusive labeling techniques such as dyes or fluorescence tags while monitoring the proliferation rates of incubated cells.
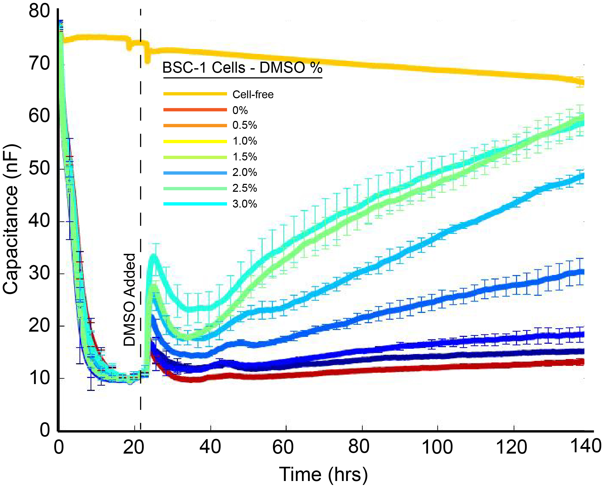
Cytotoxicity
Utilize advanced monitoring techniques to track the cytotoxic impacts of various treatments, visualizing their effectiveness through dose-dependent response curves.





Attachment/Spreading
While conventional methods merely quantify cell attachment to ECM coatings, ECIS assays provide dynamic feedback on cell behavior across diverse ECM models.
Automated Wound-Healing Migration
ECIS instruments feature the Elevated Field Mode (EFM). This innovative feature empowers users to simulate cell woundings within tissue culture by significantly amplifying the electrical current beyond standard measurements.

Electroporation
Through ECIS® automated electroporation, seamlessly integrate compounds and effortlessly monitor resulting cell morphological changes.
Barrier Function/TEER
Experience seamless and repeatable label-free automated barrier resistance/TEER monitoring continuously in real-time without removing the cells from the incubator.
Measure Multiple Cell Behaviors in One Experiment!